Nova analiza signala GW200105 (5. januar 2020) otkriva da je sudar neutron zvezde i crne rupe imao ekscentričnu orbitu, ne kružnu. Medijan ekscentriciteta iznosi ≈ 0.14 pri 20 Hz, a kružna orbita je isključena sa velikom sigurnošću. Procene masa su revidirane (Crna Rupa ≈ 11.5 M☉, Neutron Zvezda ≈ 1.5 M☉), što ukazuje na dinamično, haotično poreklo sistema.
GW200105: Prvi dokazani sudar neutron zvezde i crne rupe sa ekscentričnom orbitom otkriva haotično poreklo

Nova, dublja analiza signala GW200105 — detektovanog 5. januara 2020. tokom treće posmatračke runde Advanced LIGO i Virgo — pokazuje da je reč o sudaru neutron zvezde i crne rupe koje su se kretale po jasno ekscentričnoj (eliptičnoj) putanji, a ne po skoro savršeno kružnoj orbiti kako se do sada pretpostavljalo.
Kako su došli do tog zaključka
Tim istraživača iz The Astrophysical Journal Letters (uključujući University of Birmingham, Universidad Autónoma de Madrid i Max Planck Institute for Gravitational Physics) izvršio je reverznu analizu LIGO/Virgo podataka koristeći nov model talasnih oblika (pyEFPE) koji uzima u obzir ekscentricitet i orbitalnu precesiju. Analizom hiljade teorijskih talasnih oblika uz pomoć Bejzovske statistike identifikovan je najverovatniji model koji odgovara detektovanom signalu.
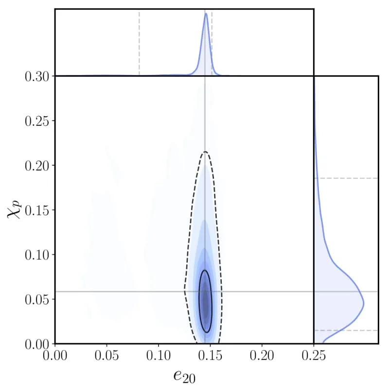
Glavni rezultati
Istraživači su utvrdili medijan ekscentriciteta ≈ 0.14 pri 20 Hz. Donja granica 99% intervala poverenja ostaje iznad nule, što omogućava sa velikom sigurnošću isključenje potpuno kružne orbite. Upotrebom modela sa ekscentricitetom revidirane su i procene masa: crna rupa ~11.5 M☉, a neutron zvezda ~1.5 M☉. Ranije analize koje su pretpostavljale kružnu orbitu davale su drugačije vrednosti (~8.9 M☉ i ~1.9 M☉).
Šta to znači za poreklo sistema
Ekscentricitet ukazuje na dinamičku, haotičnu prošlost sistema, verovatno povezanost sa okolinom: najverovatnije scenarije su formiranje unutar gustog zvezdanog skupa gde bliski susreti menjaju orbite, ili u hijerarhijskoj trostrukoj konfiguraciji gde treći objekat održava izduženost orbite.
"Ovo otkriće daje izuzetno važan novi dokaz o tome kako se ovi ekstremni kosmički sistemi formiraju..." — dr Patricia Schmidt, University of Birmingham.
Pouzdanost i dalja provera
Opsežna testiranja ukazuju da je nalaz robustan: simulacije pokazuju da bi slučajni šum dao isti nivo ekscentriciteta samo u ~0.023% slučajeva. Analize takođe ne ukazuju da greške u modelima ili strategijama uzorkovanja mogu objasniti nalaz.
Šta sleduje
GW200105 je za sada neobičan među poznatim gravitacionim talasima — druge analize sličnih sudara nisu otkrile jasne tragove ekscentriciteta. Kako broj detekcija raste i kako budu radili napredniji instrumenti (sledeća generacija zemaljskih detektora i svemirska misija LISA), očekuje se otkrivanje većeg broja ekscentričnih binarnih sistema i bolje razumevanje sredina u kojima nastaju.
Rad je dostupan u The Astrophysical Journal Letters. Originalna vest je objavljena u The Brighter Side of News.
Pomozite nam da budemo bolji.



























