Tim iz Osake je napravio čist organsko-anorganski hibrid (RaX-D) koji verno reprodukuje model Kondo ogrlice. Eksperiment pokazuje da Kondo efekat ne mora uvek da potiskuje magnetizam: dok kod spin-1/2 nastaju lokalni singleti, kod spin-1 se formira dugorodni Néelov red. Otkriće menja teorijska očekivanja i ima implikacije za dizajn kvantnih uređaja.
Kvantni spin stvara magnetizam: Kondo efekat zavisi od veličine spina

Na najnižim skalama materije kvantni svet često deluje kontraintuitivno: pojedinačne čestice prate jednostavna pravila, ali udružene stvaraju nove, neočekivane fenomene. U srcu takvog kolektivnog ponašanja je kondenzovana materija — oblast fizike koja objašnjava zašto materijali pokazuju određena svojstva.
Kondo efekat, dugo poznat kao mehanizam koji štiti lokalizovani spin od spoljašnje magnetizacije tako što ga „screenuje“ provodnim elektronima i formira nemagnetne singlete, sada je pokazao neočekivanu fleksibilnost: njegovo dejstvo zavisi od veličine lokalizovanog spina.
Eksperiment koji menja pogled na Kondo efekat
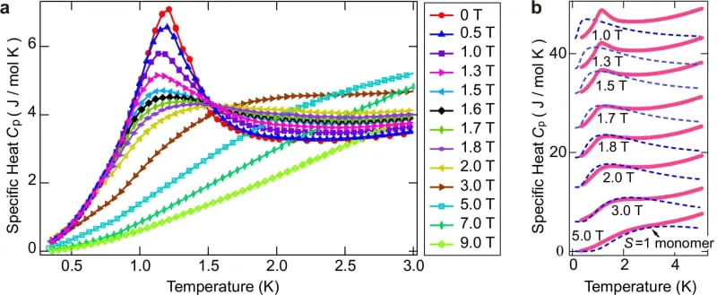
Tim predvođen Associate Professor Hironori Yamaguchi sa Graduate School of Science, Osaka Metropolitan University, dizajnirao je organsko-anorganski hibrid koristeći molekularni okvir RaX-D. Taj pristup omogućava precizno poređanje molekula u kristalu i stvaranje „čistog“ sistema u kojem dominiraju samo spin-interakcije — upravo ono što predviđa teorijski model poznat kao Kondo ogrlica (Kondo necklace).
Ranija realizacija sadržala je jedinice sa spin-1/2, koje su potvrdile očekivani ishod: Kondo sprega dovodi do lokalnih singleta i slabljenja magnetizma. U novom radu istraživači su povećali lokalizovani spin na spin-1. Termodinamička merenja su otkrila jasnu faznu promenu pri sniženju temperature — umesto prelaza u nemagnetno stanje, sistem je ušao u dugorodni, uređen magnetski poredak poznat kao Néelov red.
Zašto se menja ponašanje?
Kvantna analiza pokazuje da kada je lokalizovani spin ≥1, Kondo sprega između jedinica spin-1/2 i spin-1 formalno ne vodi formiranju potpuno ne-magnetnih singleta. Umesto toga, posredstvom Kondo spoja nastaje efektivna magnetska interakcija između većih spinova, koja se prostire kroz uzorak i stabilizuje antiferomagnetni (Néelov) poredak. Drugim rečima: ista vrsta sprega koja kod sitnijih spinova gasi magnetizam — kod većih spinova može ga i promovisati.
Šta ovo znači za nauku i tehnologiju
Ovo je prvo direktno eksperimentalno pokazivanje da uloga Kondo efekta zavisi od veličine spina. Rezultat ima dalekosežne implikacije za teorije u kondenzovanoj materiji — mnoge postojeće pretpostavke i modeli koji su izvedeni iz spin-1/2 slučaja možda neće obuhvatiti ponašanje sistema sa većim spinovima.
Praktično, kontrola magnetizma na kvantnom nivou je važna za razvoj kvantnih senzora, memorijskih elemenata i spin-baziranih računarskih komponenti: izbor materijala sa određenom veličinom spina može umesto borbe protiv neželjenih efekata omogućiti iskorišćavanje tih efekata za korisne funkcije.
„Ovo otkriće otkriva kvantno načelo koje direktno zavisi od veličine spina“, rekao je Hironori Yamaguchi. „Mogućnost prebacivanja između nemagnetnih i magnetnih stanja kontrolom spina otvara moćne nove mogućnosti.“
Studija je objavljena u časopisu Nature. Rad naglašava važnost „čistih“ eksperimentalnih sistema bez dodatnih komplikacija (npr. kretanja naboja) za razotkrivanje osnovne kvantne fizike koja upravlja magnetnim poretkom.
Šta dalje? Istraživanje podstiče potragu za drugim materijalima sa većim lokalizovanim spinovima i ukazuje da se mogu očekivati nove kvantne faze i funkcionalnosti koje do sada nisu bile predviđene klasičnim modelima zasnovanim na spin-1/2. To otvara mogućnosti i za dizajn materijala sa ciljanim svojstvima za kvantne tehnologije.
Pomozite nam da budemo bolji.


































