Studije u Physical Review A predlažu teorijski model u kome anyoni — čestice između bozona i fermiona — mogu nastati u jednodimenzionalnim sistemima. Parametar α (0–1) opisuje "stepen" anyonskog ponašanja, pri čemu razmena u 1D zahteva prolazak kroz istu tačku i postaje povezana sa kratkodelujućim interakcijama. Autori predviđaju merljive efekte u distribucijama momentuma, uključujući asimetriju oko nultog momenta i podvodeći k⁻³ član, te ističu ultrahladne atome kao najrealniju platformu za testiranje tih predikcija.
Anyoni U Jednoj Dimenziji: Nova Teorija Predviđa Merljive Efekte U Ultrahladnim Atomima

Par identičnih čestica koje zamene mesta zvuči kao mali potez. U kvantnoj fizici, to je potez koji određuje suštinu njihove statistike — i novi radovi pokazuju da ta priča dobija neočekivanu nijansu u jednoj dimenziji.
Šta su anyoni? U trodimenzionalnom prostoru razmena dve identične čestice dovodi do samo dve mogućnosti: talasna funkcija ostaje ista (bozoni) ili menja znak (fermioni). U nižim dimenzijama, ta podela popušta i javlja se srednji tip čestica — anyoni — čija statistika može kontinuirano varirati između bozona i fermiona.
U dva rada objavljena u časopisu Physical Review A, istraživači sa Okinawa Institute of Science and Technology (OIST) i University of Oklahoma predlažu teorijski okvir u kome anyoni mogu postojati i u jednodimenzionalnim (1D) sistemima. Profesor Thomas Busch iz OIST‑a opisao je rezultate kao "vrata" ka dubljem razumevanju mogućih kvantnih statistika.
Ključna razlika u 1D je prisilni susret: čestice na liniji ne mogu zaobići jedna drugu, pa razmena položaja podrazumeva prolazak kroz istu tačku. Autori pokazuju da zbog toga statistika razmene postaje tesno povezana sa kratkodelujućim interakcijama, i nije isključivo topološka osobina kao kod dvodimenzionih braid‑anyonâ.
U njihovom modelu uveden je statistički parametar α (0 ≤ α ≤ 1) koji opisuje "stepen" anyonskog ponašanja: α = 0 odgovara izvornoj bozonskoj ili fermionskoj statistici, dok α = 1 prelazi u komplementarno ponašanje povezano sa poznatim Bose–Fermi mapiranjem u 1D. Autori prave razliku između "bozonskih anyona" i "fermionskih anyona" kao dve familije stanja sa različitim ukupnim znakom razmene, ali oba dobijaju α‑zavisnu fazu.
Model se gradi tako što se standardne bozonske ili fermionske talasne funkcije "oblažu" α‑zavisnom gauge-fazom, što uvodi dodatne korelacije. U Hamiltonijanu se javljaju dve vrste interakcija nultog dometa (zero‑range) povezane sa paritetom (parne i neparne komponente). Kritičan uslov za nastanak anyonske fizike je jednakost relevantnih 1D scattering‑dužina — autori tu zajedničku vrednost nazivaju anyonskom scattering‑dužinom.
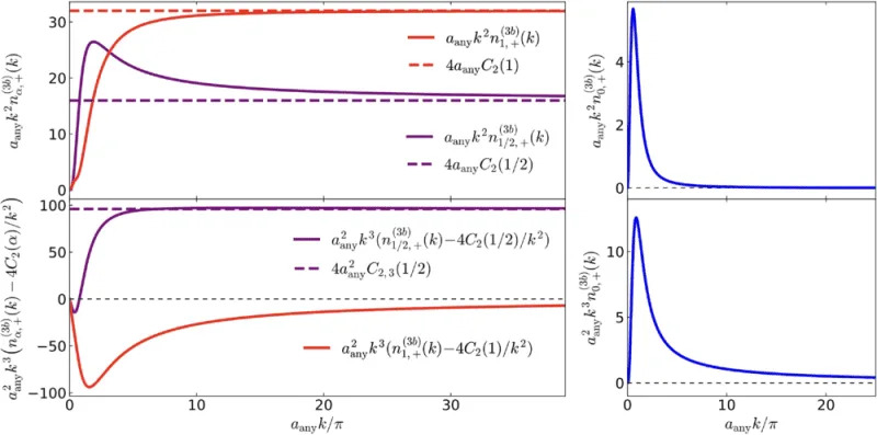
Šta se može meriti? Autori ukazuju na distribucije momentuma kao praktičan i osetljiv pokazatelj. Predviđaju da bilo koji anyonski režim izaziva asimetričnu raspodelu momenta oko nultog momenta zbog mešanja simetričnih i antisimetričnih delova talasne funkcije. Takođe, za međuvrednosti α i konačne scattering‑dužine uvođen je podvodeći član u repu pri visokim momentima koji skaluje kao k⁻³ — potpis interferencije dvodelnih i višetelesnih doprinosa.
Zanimljivo je da se tro‑telesni doprinos pojavljuje iako Hamiltonijan sadrži samo dvodelne interakcije; autori to objašnjavaju kao posledicu faznog "oblačenja" talasne funkcije koje uvodi višegredne korelacije. Teoretske formule su potvrđene eksplicitnim proračunima za sisteme od dva i tri identical anyona u slobodnom prostoru.
Eksperimentalna realizacija izgleda izvodljivo u platformama ultrahladnih atoma u 1D: takvi eksperimenti već podešavaju jačinu interakcija promenom konfajnementa ili pomoću Feshbach rezonanci. Autori napominju da su u praksi anyoni verovatno kvazičestice, te da rad ne daje kompletnu recepturu za inženjering tačno takvog Hamiltonijana — ali daje jasne eksperimentalne potpisne vrednosti koje treba tražiti.
Zaključak: Ako eksperimenti uspeju da ostvare uslove sa kontrolisanom scattering‑dužinom u 1D, mere distributivnih funkcija momentuma mogu otkriti podešivu anyonsku statistiku predviđenu u ovim radovima.
Pomozite nam da budemo bolji.


































