U novom radu pokazano je da tanak listić Bi2Te3 pretvara AC u DC bez magnetnog polja zahvaljujući nelinearnom Hall efektu (NLHE). Signal ostaje vidljiv do ~300 K, ali menja smer blizu ~230 K jer fononsko rasipanje preuzima kontrolu nad transportom umesto nečistoća. Istraživači tvrde da skew‑scattering i side‑jump objašnjavaju ponašanje, dok trostruka simetrija površine isključuje prost model sa Berry‑dipolom. Ovo otvara mogućnosti za kompaktne akumulatore energije i uređaje bez baterija.
Kvantni „ispravljač“: Kako tanak listić Bi2Te3 menja AC u DC i obrće smer pri ~230 K

Tanak listić bizmut-telurida (Bi2Te3) može da posluži kao kvantni „ispravljač“ koji pretvara naizmeničnu struju (AC) u jednosmernu (DC) bez upotrebe spoljnog magnetnog polja — i pritom menja smer svog izlaza kada se zagreje blizu ~230 K. Novo istraživanje rasvetljava mehanizme koji stoje iza ovog nelinearnog Hall efekta (NLHE) i pokazuje da signal ostaje detektabilan do sobne temperature (~300 K).
Ukratko — zašto je ovo značajno
NLHE omogućava direktnu konverziju AC u DC bez tradicionalnih dioda, što je posebno važno za niskopotrošačku elektroniku i sakupljanje energije iz ambijenta (npr. bežični i RF signali). Autori pokazuju da se u Bi2Te3 na površinskim stanjima menjanjem temperature menja relativan doprinos različitih mehanizama rasipanja, pa se i smer proizvedenog DC signala može preokrenuti.
Metodologija i uzorak
Istraživanje su vodili timovi sa Queensland University of Technology i Nanyang Technological University. Uređaji su izrađeni od mehanički eksfoliovanih listića Bi2Te3 uz Al2O3-pomoć i prenos pomoću pečata od poly(bisphenol A carbonate) na kružne elektrodeske strukture. Atomska sila-mikroskopija (AFM) potvrdila je debljinu od oko 30 nm.
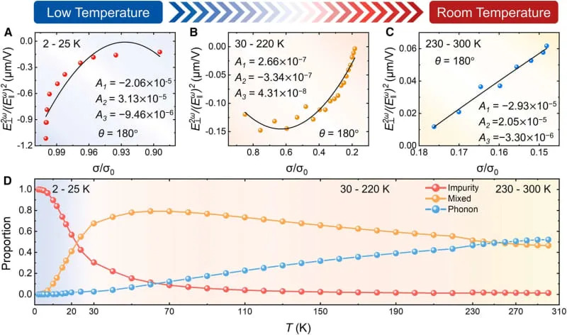
Transportna svojstva i temperaturne regije
Električni transfer pokazuje metalni karakter sa zasićenjem otpornosti pri niskim temperaturama. Posmatrani su tri temperaturna režima transporta:
- 2–25 K: sporo opadanje mobilnosti (dominira raspad izazvan nečistoćama)
- ~25–230 K: nagli pad mobilnosti — mešoviti režim gde fononi postaju važni
- ~230–300 K: približno konstanta mobilnost pri kojoj fononsko rasipanje dominira
Kako su merili NLHE
Tim je primenjivao niskofrekventnu AC struju duž različitih pravaca i merio poprečne napone na osnovnoj i na drugoj harmonici. Drugi-harmoniks poprečnog napona skalirao je sa kvadratom pogonske struje, što potvrđuje drugostepeni nelinearni odgovor. Rotacija pravca struje otkrila je jasnu trostruku rotacionu (C3v) simetriju signala.
Mehanizam: Zašto nije običan Berry Dipol
Zbog simetrije površinskog stanja (C3v) tipičan model zasnovan na Berry curvature dipole-u je suzbijen. Umesto toga, autori objašnjavaju rezultat mehanizmima vezanim za rasipanje na površinskoj Fermi površi, koja je izobličena (heksagonalna, "pahuljica-slična") zbog warping termina i jakog spin-orbit efekta. Na toj površini Berijeva krivina dolazi u pozitivnim i negativnim oblastima, što elektronskim paketima daje efekt samorotacije (analognu Magnus efektu).
Skew‑scattering i Side‑jump
Samorotacija i raspodela Berijeve krivine omogućavaju dva rasipna doprinosa NLHE: skew‑scattering (nesimetrično rasipanje) i side‑jump (bočno „preskakanje“ pri rasipanju). Autori uvode koncept Berijevog "triple" (umesto dipola) kao mikroskopskog izvora koji omogućava ove procese u prisustvu neurednosti.
Temperaturna promena znaka
Analize pokazuju da je pri niskim temperaturama (2–25 K) dominantan skew‑scattering od nečistoća; u srednjem opsegu postoji mešavina nečistoća i fonona; iznad ~230 K dominira fononski skew‑scattering. Kako relativni doprinosi ovih kanala menjaju, ukupni NLHE signal prelazi kroz nultu vrednost i menja znak — eksperimentalno uočen preokret oko ~230 K. Kontrolna merenja i različite konfiguracije povezivanja isključuju proste termalne artefakte.
Implikacije i primene
Praktično, ovo znači da se nelinearni Hall efekat u Bi2Te3 može koristiti za kompaktne AC‑to‑DC pretvarače u niskopotrošačkoj elektronici, harvestere energije, senzore i nosivu elektroniku. Dodatno, mogućnost temperaturnog podešavanja (pa čak i obrta smera) otvara dizajnerske opcije za uređaje koji treba da rade stabilno do sobne temperature.
Rezultati su dostupni u online publikaciji pod identifikatorom Newton00012-5.
Napomena: U članku su zadržani ključni eksperimenti i zaključci originalne studije — detekcija NLHE do ~300 K, trostruka simetrija signala, procena kratkog vremena rasipanja (~0,15 ps) i uloga skew‑scattering i side‑jump mehanizama u obrtanju signala oko 230 K.
Pomozite nam da budemo bolji.


































