Nova studija u Science Advances otkriva da niže gljive iz porodice Mortierellaceae poseduju gene slično bakterijskom InaZ genu i proizvode rastvorljive proteinske nukleatore leda. Fungalni INP-ovi formiraju klastere bez membrane i mogu nukleovati led pri -5°C do -8°C, a poreklo sposobnosti objašnjeno je horizontalnim prenosom gena iz bakterija. Potencijalne primene uključuju krioprezervaciju, kontrolisanu tehnologiju smrzavanja i uticaj na atmosferu.
Gljive Koje „Prave" Led: Rastvorljivi Proteini Nukleuju Vodu Pri -5°C

U svom najčišćem obliku, tečna voda može da ostane netaknuta i do oko -40°C — ukoliko nema površina ili čestica koje bi poslužile kao mesto za početak kristalizacije (fenomen poznat kao superhlađenje). Novi rad objavljen u Science Advances otkriva da neke niže gljive iz porodice Mortierellaceae poseduju proteine koji olakšavaju formiranje leda mnogo "ranije" nego što bi se očekivalo.
Šta su pronašli istraživači
Tim sa Boise State University i Max Planck Institute for Polymer Research, predvođen Konradom Meisterom, identifikovao je novu klasu proteinskih nukleatora leda u Mortierellaceae. Sekvenciranjem gena ovih gljiva pronađeni su geni koji su veoma slični bakterijskom genu InaZ, poznatom po svojoj ulozi u organizovanju molekula vode u pravolinijske obrasce koji podstiču formiranje kristala leda.
Horizontalni transfer gena
Filogenetske analize ukazuju da je gen sličan InaZ verovatno stigao u prastarog pretka ovih gljiva putem horizontalnog transfera gena — prenošenja genetskog materijala između nepovezanih organizama, najverovatnije iz bakterija u gljive pre stotina miliona godina. Podršku tom zaključku daje i hemijski potpis fungalnog gena, koji više podseća na bakterijsku DNK nego na okolni fungalni genom.
„Iako deluju slično, oni su zapravo različiti,“ kaže Rosemary Eufemio, doktantskinja uklјučena u studiju. Fungalni nukleatori dele repetitivnu arhitekturu s bakterijskim, ali su rastvorljiviji i strukturno stabilniji.
Kako se razlikuju fungalni i bakterijski INP-ovi
Bakterijski INP-ovi obično su smešteni u membranama ćelija i svoje funkcionalne agregate često formiraju pomoću membrane. Fungalni INP-ovi koje je otkrio Meisterov tim su vodorastvorljivi, stvaraju klastere bez potrebe za membranom i sadrže strukturne elemente poput cisteinskih ostataka blizu C-terminusa koji omogućavaju nastanak disulfidnih veza za veću stabilnost.
Eksperimentalna potvrda
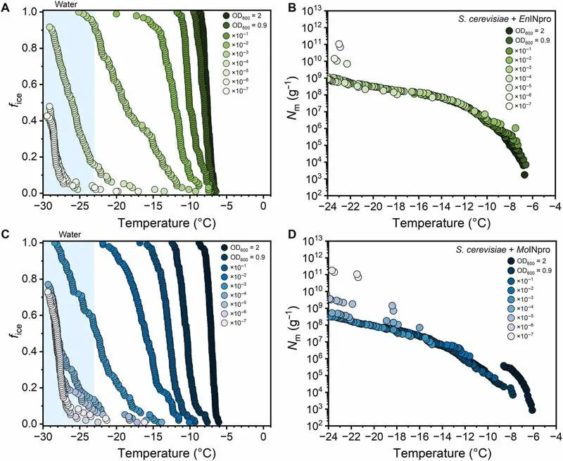
Da bi potvrdili da ti geni zaista proizvode nukleacione proteine, istraživači su preneli dva fungalna gena u Saccharomyces cerevisiae (kvasac) i u Escherichia coli. Obe transformisane vrste postale su aktivne u nukleaciji leda: temperatura smrzavanja kvasca se pomerila sa oko -26°C na približno -7°C, što pokazuje snažan efekat jedne geneske insercije.
Koliki je efekat i zašto je važno
Modeli dobijeni pomoću alata za predviđanje strukture pokazuju da klasteri od 3–5 paralelno poravnatih proteinskih jedinica stvaraju površinu dovoljne širine za nukleaciju leda pri temperaturama između -5°C i -8°C — performanse koje su konkurentne najboljim poznatim biološkim nukleatorima leda.
Otkriće ima šira značenja: ako su ovi rastvorljivi proteinski nukleatori aktivni u koncentracijama koje se javljaju u prirodi (npr. u zemljištu), njihova uloga u procesima formiranja oblaka i atmosferskoj hemiji mogla bi biti značajnija nego što se ranije mislilo.
Primene i naredni koraci
Zbog svoje rastvorljivosti, stabilnosti i otpornosti na ekstremne pH vrednosti i cikluse zamrzavanja-odmrzavanja, fungalni INP-ovi su perspektivni za kontrolisanu tehnologiju smrzavanja (CFT) i krioprezervaciju (npr. predvidljivo formiranje leda u očuvanju ćelija i tkiva). Dalji rad uključiće karakterizaciju visokorezolutne strukture tih klastera, određivanje optimalnih koncentracija i procenu bezbednosti i efikasnosti za industrijske i medicinske primene.
Napomena o superhlađenju
Svaka napomena o temperaturi od -40°C odnosi se na izuzetno čiste i kontrolisane laboratorijske uslove. U kućnim uslovima i kod komercijalno destilovane vode, prisutne su nečistoće i površine koje obično podstiču smrzavanje pri oko 0°C.
Izvor: Rad dostupan u Science Advances. Nalazi otvaraju nove pravce u razumevanju međukraljevske razmene gena i potencijala mikroorganizama u atmosferi i biotehnologiji.
Pomozite nam da budemo bolji.


























