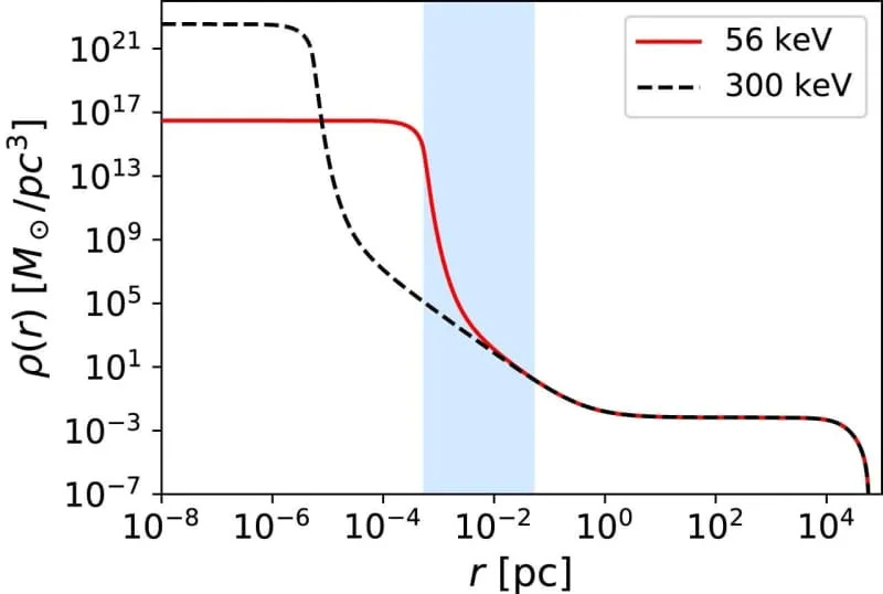
Međunarodni tim predlaže da centralna masa Mlečnog puta može biti kompaktno jezgro fermionske tamne materije, a ne klasična supermasivna crna rupa. Analiza orbite zvezde S2 (2000–2019) pokazuje da modeli sa česticama od 56 keV i 300 keV daju gotovo iste orbite kao i crna rupa, uz suptilne razlike u precesiji periapsisa. Bayesov faktor blago favorizuje model od 56 keV, ali trenutna posmatranja nisu dovoljno odlučujuća — preciznija merenja (GRAVITY, VLT, EHT) mogu razjasniti koji model je tačan.
Centar Mlečnog puta: crna rupa ili kompaktno jezgro tamne materije?

Tim međunarodnih istraživača sugeriše da supermasivna crna rupa u centru naše galaksije — poznata kao Sagittarius A* (Sgr A*) — možda nije jedina moguća interpretacija. Umesto klasične crne rupe, u centru Mlečnog puta mogao bi se nalaziti kompaktan, gust objekat sastavljen od fermionske tamne materije koji stvara sličan gravitacioni efekat.
Šta autori predlažu?
Valentina Crespi i dr Carlos Argüelles iz Instituta za astrofiziku La Plata, zajedno sa saradnicima iz Argentine, Kolumbije, Nemačke i Italije, razvili su model u kojem centralno jezgro galaksije predstavlja gustu koncentraciju fermionske tamne materije. Takvo jezgro bi — zajedno sa širim halo-om tamne materije — moglo da daje gravitacioni uticaj koji je dosad pripisivan supermasivnoj crnoj rupi.
Podaci i analiza orbita
Autorima je ključna bila precizna analiza orbite zvezde S2, bazirana na posmatranjima iz perioda 2000–2019. Upoređivali su tri modela za Sgr A*: standardnu crnu rupu i dva fermionska modela sa masama čestica od 56 keV i 300 keV. Svi modeli rekreirali orbitu S2 sa vrlo malim razlikama (semimajor osa i ekscentricitet varirali su za manje od 1%), dok su suptilne razlike primećene u predviđenoj precesiji periapsisa.
Statistika i preferencije modela
Autori su koristili Bayesov faktor za poređenje modela; za skup podataka koji su koristili, model sa česticom od 56 keV dobio je blagu prednost u odnosu na 300 keV varijantu. Ipak, trenutno nema dovoljno dokaza da se sa sigurnošću isključi ni tradicionalni model crne rupe ni model tamnog jezgra.
G-objekti i ograničenja
Istraživači su testirali i takozvane G-objekte (npr. G2), ali za njih postoje manje potpune orbitalne serije podataka, pa je statistička podrška manja nego za S2. U nekim slučajevima standardni model crne rupe pokazuje jaču podršku, što znači da model tamne materije zasad ne odstupa značajno od konvencionalne kosmologije.
„Ne tvrdimo da je u centru galaksije samo ‘mračan’ objekat; predlažemo da i supermasivno telo u centru i opsežni halo tamne materije predstavljaju različite forme ili aspekte jedinstvenog entiteta,“
— dr Carlos Argüelles.
Šta će razjasniti buduća posmatranja?
Autori ukazuju na to da su potrebna preciznija posmatranja, među kojima izdvajaju instrumente kao što su GRAVITY na VLT-u i posmatranje fotonskih prstenova (photon rings) koje mogu razlikovati između modela sa stvarnim horizontom događaja i modela bez klasičnog horizonta. Takođe, slike senke centralnog objekta — poput one koju je zabeležio Event Horizon Telescope (EHT) — mogle bi pomoći u razlikovanju scenarija.
Zaključak
Model kompaktne fermionske tamne materije ne protivreči postojećim posmatranjima i predstavlja izvodljivu alternativu koja bi, ukoliko se potvrdi, mogla promisliti odnos između „unutrašnje“ strukture galaktičkog centra i „spoljašnjeg“ halo-a kao različitih manifestacija iste fizičke realnosti. Ipak, trenutni podaci nisu konačni — bolja preciznost i nova posmatranja odlučivaće u narednim godinama.
Rezultati istraživanja objavljeni su u časopisu Monthly Notices of the Royal Astronomical Society.
Pomozite nam da budemo bolji.


































