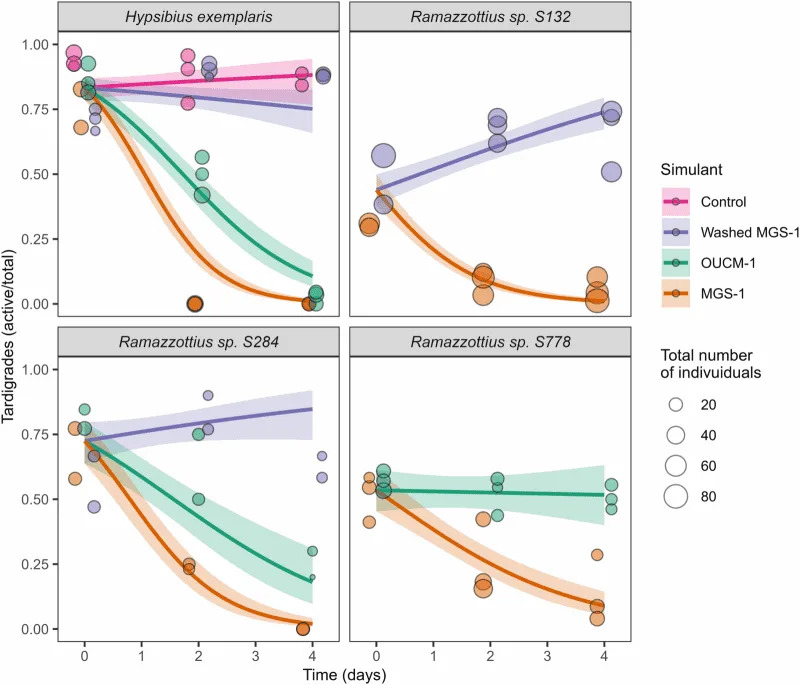
Studija je pokazala da simulant MGS-1 značajno smanjuje aktivnost tardigrada, pri čemu je Hypsibius exemplaris uginuo nakon dva dana. Jednostavno ispiranje MGS-1 vodom obnovilo je vitalnost životinja, što ukazuje da su odgovorni štetni faktori vodotopivi. Nalaz ima dvojaku važnost: može smanjiti rizik od kontaminacije Marsa, ali i otežati pretvaranje regolita u plodnu podlogu za biljke i predstavljati rizik za ljude.
Tardigradi i voda: Šta otkriva štetan MGS-1 za uzgoj hrane i planetarnu zaštitu na Marsu

Tardigradi, poznati i kao "vodeni medvedi", uživaju reputaciju gotovo neuništivih organizama: mogu da se isušе i uđu u stanje dormancije koje im omogućava preživljavanje vakuuma svemira, jakih pritisaka i izuzetno niskih temperatura. Ipak, nova studija ukazuje da određene hemije simuliranog marsovskog regolita mogu brzo da ponište njihovu aktivnost — i to čak i kod vrsta poznatih po izdržljivosti.
Kako je studija izvedena
Tim, koji je ko- vodila Corien Bakermans (Penn State Altoona), testirao je kratkoročnu preživljivost dve taksonomske grupe tardigrada: Ramazzottius cf. varieornatus i Hypsibius exemplaris. Životinje su izložene dvema često korišćenim simulantima marsovskog regolita, MGS-1 i OUCM-1, dok je kao kontrola korišćen zemaljski pesak. U sve tretmane dodata je gusta kultura alge Auxenochlorella pyrenoidosa kako hrana ne bi bila ograničavajući faktor.
Rezultati
U MGS-1 simulantu zabeleženo je značajno smanjenje aktivnosti već posle dva dana; kod Hypsibius exemplaris nije pronađen nijedan živ primerak nakon 48 sati. Populacije Ramazzottius su bile otpornije, a najizdržljivija populacija obeležena je kao S778. U oba simulanta često su primećene mineralne čestice na telima tardigrada, a neke jedinke su izgledale naduveno ili oštećeno.
Neočekivano rešenje: pranje vodom
Istraživači su isprali MGS-1 četiri puta vodom, osušili ga i ponovo testirali. U opranom MGS-1 tardigradi su ostali vitalni — statistički model nije razlikovao oprani MGS-1 od kontrole. To ukazuje da su štetni faktori u MGS-1 najverovatnije vodotopivi spojevi (npr. soli ili drugi rastvorljivi toksini), a ne samo pH ili ekstremna salinitet koja bi sama objasnila umiranje.
Implikacije
Rezultati imaju dvosmerne posledice:
- Planetarna zaštita: Ako neki regoliti prirodno inaktiviraju Zemljine organizme, to može smanjiti rizik od kontaminacije Marsa.
- Biološka podrška i poljoprivreda: Ista hemija koja ubija mikrobe ili mikrosvet može ometati izgradnju funkcionalnih ekosistema za biljke i predstavljati rizik za ljude.
Mehanizam kojim voda uklanja štetnost sugeriše da je moguće procesuiranje regolita — ali to na Marsu zahteva vodu, energiju i opremu, resurse koji su skupi i ograničeni.
Ograničenja i dalji koraci
Studija je ciljano izolovala uticaj samo simulanta regolita, bez faktora kao što su niska atmosfera, zračenje i temperaturne oscilacije koje dodatno otežavaju uslove na Marsu. Broj ispitivanih jedinki bio je ograničen, pa nisu testirane sve moguće kombinacije simulanta i populacija, niti je potpuno razjašnjen tačan hemijski sastav štetnih supstanci u MGS-1. Autori planiraju dalja istraživanja usmerena na identifikaciju konkretnih vodotopivih toksina.
Zaključak
Eksperiment pokazuje da regolit "nije neutrala podloga": određene hemijske komponente mogu brzo deaktivirati čak i izdržljive životinje poput tardigrada, ali pranje vodom može ukloniti štetan efekat u modelnim uslovima. To je važna informacija za planiranje misija koje računaju na biološke sisteme za proizvodnju hrane ili na strogu planetarnu zaštitu.
Rad je objavljen u International Journal of Astrobiology. Studija je podržana, između ostalog, kroz POLONEZ BIS i Marie Skłodowska-Curie COFUND.
Pomozite nam da budemo bolji.


































