Tim sa Rice i Rutgers univerziteta otkrio je da CeMgAl11O19, dugogodišnji kandidat za kvantnu spin‑tečnost, zapravo predstavlja novo klasično stanje materije. Eksperimenti, uključujući neutronsko rasipanje i merenja AC susceptibilnosti, pokazuju da konkurencija ferro‑ i antiferomagnetnih interakcija stvara širok spektar stabilnih niskoeenergetskih konfiguracija. Iako te konfiguracije stvaraju izgled kontinuma tipičnog za kvantne faze, one se, jednom stabilizovane, ne prebacuju kvantno između stanja. Otkriće menja pristup identifikaciji egzotičnih magnetnih stanja i ima implikacije za potragu materijala za kvantne tehnologije.
Otkriće: CeMgAl11O19 Nije Kvantna Spin‑Tečnost — Pronađeno Novo Stanje Materije

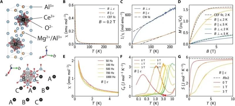
Na temperaturama bliskim apsolutnoj nuli, većina magnetnih materijala formira uredne obrasce: njihovi mali magnetni momenti, ili spinovi, poravnaju se ili svi u istom pravcu (feromagnetno) ili naizmenično (antiferomagnetno). Međutim, jedinjenje koje sadrži cerijum, magnezijum, aluminijum i kiseonik — CeMgAl11O19 — ne uklapa se u ovaj obrazac.
Šta su naučnici očekivali i šta su našli
Decenijama je CeMgAl11O19 smatran kandidatom za kvantnu spin‑tečnost (quantum spin liquid): retko stanje u kojem spinovi ostaju neusmereni i kvantno fluktuiraju i pri ekstremno niskim temperaturama. Novi eksperimenti pokazali su da su ranija zapažanja — kontinualni spektar ekscitacija i odsustvo dugoročnog magnetnog uređenja — zapravo rezultat klasičnih, a ne kvantnih efekata.
Kako su došli do ovog zaključka
Tim sa Rice i Rutgers univerziteta upotrebio je kombinaciju eksperimentalnih i teorijskih tehnika: neutronsko rasipanje, merenja AC magnetne susceptibilnosti, precizno hlađenje uz rast kristala i teorijsko modelovanje. Neutronsko rasipanje, koje mapira raspored i dinamiku magnetnih momenata, pokazalo je širok spektar niskoeenergetskih konfiguracija — ali dalja analiza otkrila je da te konfiguracije nisu kvantno prepletene i da se, nakon stabilizacije, ne prebacuju slobodno jedna u drugu.
Ključni mehanizam
Umesto kvantnih fluktuacija, CeMgAl11O19 karakteriše nežna ravnoteža između feromagnetnih i antiferomagnetnih interakcija. Ta konkurencija dovodi do visoke degeneracije niskih energetski stanja: različiti delovi iste kristalne rešetke mogu se stabilizovati u različitim klasičnim konfiguracijama. Posmatrano izdaleka, takva situacija stvara efekat kontinuma sličan onom koji se pripisuje kvantnim spin‑tečnostima, ali su to u ovom slučaju odvojene, stabilne, klasične faze.
„Materijal je bio klasifikovan kao kvantna spin‑tečnost zbog kontinua stanja i odsustva uređenja. Međutim detaljnija analiza pokazala je da uzrok nije kvantna spin‑tečnost,“ rekao je Bin Gao, ko‑prvi autor i istraživač na Rice University. „Ovo je novo stanje materije koje, koliko nam je poznato, prvi opisujemo,“ dodao je Pengcheng Dai, korespondirajući autor.
Implikacije i dalji pravci
Otkriveno stanje ima značajne posledice za identifikaciju egzotičnih magnetnih faza: kontinuum ekscitacija više ne može automatski biti interpretiran kao dokaz kvantne spin‑tečnosti. To znači da kandidati za kvantne materije, naročito oni procenjeni samo po spektrima ekscitacija, treba da budu ponovo analizirani uzimajući u obzir moguće klasične mehanizme.
Primetne implikacije postoje i za primenu u kvantnim tehnologijama: materijali moraju imati istinski kvantne karakteristike (npr. entanglement i mogućnost kvantnog prebacivanja između stanja) da bi bili relevantni za kvantno računanje. Ako se kvantne osobine pogrešno pripišu klasičnim kontinuumima, istraživanja mogu biti usmerena u pogrešnom pravcu.
Metodologija, finansiranje i publikacija
Studija je kombinovala rast visokokvalitetnih kristala na Rice i Rutgers univerzitetima, precizna eksperimentalna merenja i teorijsko modelovanje koje objašnjava kako konkurentne interakcije dovode do posmatranog spektra. Rad je finansiran delom od U.S. Department of Energy, Robert A. Welch Foundation i Gordon and Betty Moore Foundation, a rezultati su objavljeni u časopisu Science Advances.
Zaključak
CeMgAl11O19 predstavlja primer kako klasične magnetne interakcije mogu imitirati kvantne potpise u eksperimentima. Otkriće poziva na rigorozniji pristup pri interpretaciji eksperimentalnih podataka i otvara nove puteve za istraživanja — na primer, proučavanje uticaja spoljnog pritiska, magnetnih polja ili hemijskih supstitucija na ovo novo stanje.
Pomozite nam da budemo bolji.




























