Studija sa Universidade de São Paulo otkriva 12 antibiotika u vodi, sedimentu i ribama reke Piracicaba, sa jasno izraženom sezonskom varijacijom: kišna sezona razblažuje, a sušna povećava koncentracije. Biljka Salvinia auriculata efikasno uklanja enrofloksacin (>95%, poluživot 2–3 dana), ali slabije uklanja hloramfenikol (30–45%, poluživot 16–20 dana). Hloramfenikol se akumulira u ribama (>90 dana, desetine μg/kg), što otvara put za izloženost ljudi; rešenje zasnovano na biljkama zahteva oprez i upravljanje biomase.
Biljka „sunđer“ pomaže, ali ne rešava: Antibiotici u reci Piracicaba, sedimentu i ribama

Antibiotici koji služe za lečenje ostavljaju tihi, ali dugotrajan trag u rekama, sedimentu i ribi koja završava na tanjirima ljudi. Nova studija tima Centra za nuklearnu energiju u poljoprivredi (Universidade de São Paulo) detaljno prati rezidue 12 antibiotika u ekosistemu reke Piracicaba i ispituje potencijal plutajuće biljke Salvinia auriculata kao prirodnog sredstva za pročišćavanje.
Gde i kako su prikupljeni uzorci
Istraživači su vzorčili vodu, sediment i ribe u blizini brane Santa Maria da Serra, u području rezervoara Barra Bonita — lokaciji koja prikuplja zagađivače iz čitavog sliva. Među izvorima zagađenja navode se tretirane otpadne vode, kućni otpad, akvakultura, stočarstvo (posebno uzgoj svinja) i poljoprivredni oticaj.
Sezonska varijacija i uloga sedimenta
Analize obuhvataju 12 antibiotika iz klasa kao što su tetraciklini, fluorohinoloni, sulfonamidi i fenoli. Jasno se pokazao sezonski obrazac: tokom kišne sezone većina supstanci je bila ispod granice detekcije (verovatno zbog razblaživanja većim protokom), dok su u sušnoj sezoni koncentracije znatno porasle. Sediment, bogat organskom materijom i mineralima, deluje kao rezervoar koji može dugo zadržavati antibiotike i postupno ih oslobađati natrag u vodu.
Opasan nalaz u ribama
Jedan od najupečatljivijih rezultata bio je pronalazak hloramfenikola u ribi vrste lambari, koju lokalno stanovništvo često konzumira. Hloramfenikol je zabranjen za upotrebu u stočarstvu u Brazilu zbog toksičnosti, ali je u sušnoj sezoni pronađen u koncentracijama od desetina μg/kg, što ukazuje na realan put izloženosti ljudi putem hrane.
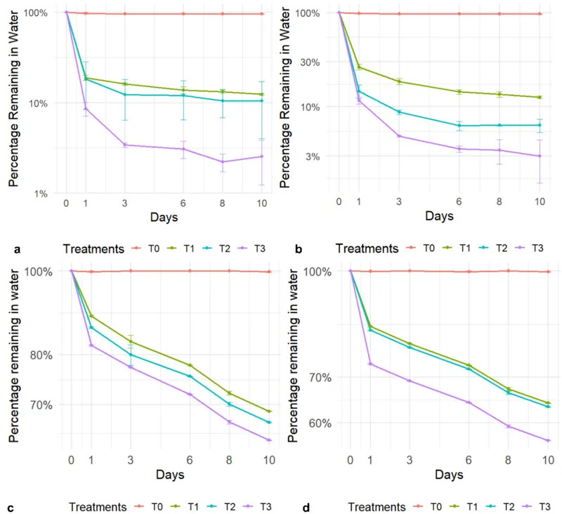
Biljka koja upija — ali menja dinamiku
Ispitivali su i Salvinia auriculata u kontrolisanim uslovima, koristeći i radiooznačene supstance za praćenje sudbine antibiotika. Efikasnost je zavisila od jedinjenja: enrofloksacin je uklonjen >95% uz veću biomasu biljke u roku od nekoliko dana, a njegova poluživotnost pala je na oko 2–3 dana. Nasuprot tome, hloramfenikol je uklonjen samo 30–45%, sa poluživotom od 16–20 dana u prisustvu biljke.
Autoradiografske slike pokazale su da se oba leka najviše akumuliraju u korenu biljke, što upućuje na apsorpciju preko rizoma kao ključni mehanizam.
Kompleksne posledice za ribe i zdravlje
Uklanjanje antibiotika iz vode nije uvek značilo manju izloženost riba. Enrofloksacin je uglavnom ostajao rastvoren u vodi i relativno brzo se izlučivao iz riba (poluživot ≈ 21 dan, niska bioakumulacija). Hloramfenikol je, međutim, dugo ostajao u ribama (poluživot > 90 dana) i imao visok afinitet ka tkivima.
Kada je Salvinia bila prisutna, ribe su ponekad brže apsorbovale antibiotike — istraživači pretpostavljaju da biljka može transformisati hemijsku formu spojeva ili promeniti uslove u rizosferi, što povećava biodostupnost za organizme.
"Korišćenje biljaka kao 'sunđera' za kontaminante nije trivijalno. Prisutnost makrofite menja čitav sistem, uključujući način na koji organizmi dolaze u kontakt sa kontaminantom," kaže Patrícia Alexandre Evangelista, glavna autorka.
Genotoksičnost i potencijalna korist
Studija je merila genetska oštećenja u ribama (mikrojedra i nuklearne abnormalnosti). Hloramfenikol je izazvao jasno povećanje oštećenja DNK, ali u prisustvu biljke ta oštećenja su se smanjila blizu kontrolnih nivoa. Za enrofloksacin, prisustvo biljke nije značajno smanjilo genotoksičnost — moguće zbog stabilnih produkata razgradnje.
Autori napominju da Salvinia auriculata predstavlja obećavajuće i niskobudžetno rešenje za redukciju određenih supstanci, ali ono zahteva pažljivo upravljanje: biomasa koja akumulira antibiotike mora se sigurno ukloniti i tretirati da se spreči ponovna kontaminacija.
Širi uticaji i preporuke
Prisustvo antibiotika u vodama povećava rizik od razvoja rezistentnih bakterija koje se mogu širiti kroz vodene sisteme i lanca ishrane. Rad ističe potrebu za integrisanim pristupom: kontinuirano monitorisanje, biološki testovi, tehnologije sanacije i pravilno upravljanje biomase. Dalja istraživanja su potrebna da razjasne kako makrofite menjaju hemijske oblike zagađivača i kakve posledice to ima po ekosisteme i javno zdravlje.
Rezultati su dostupni u časopisu Environmental Sciences Europe. Koautor Valdemar Luiz Tornisielo naglašava širu poruku: detekcija rezidua ukazuje na opseg ljudskog uticaja i potrebu za odgovornijim upravljanjem otpadnim vodama i agrarnim praksama.
Pomozite nam da budemo bolji.




























